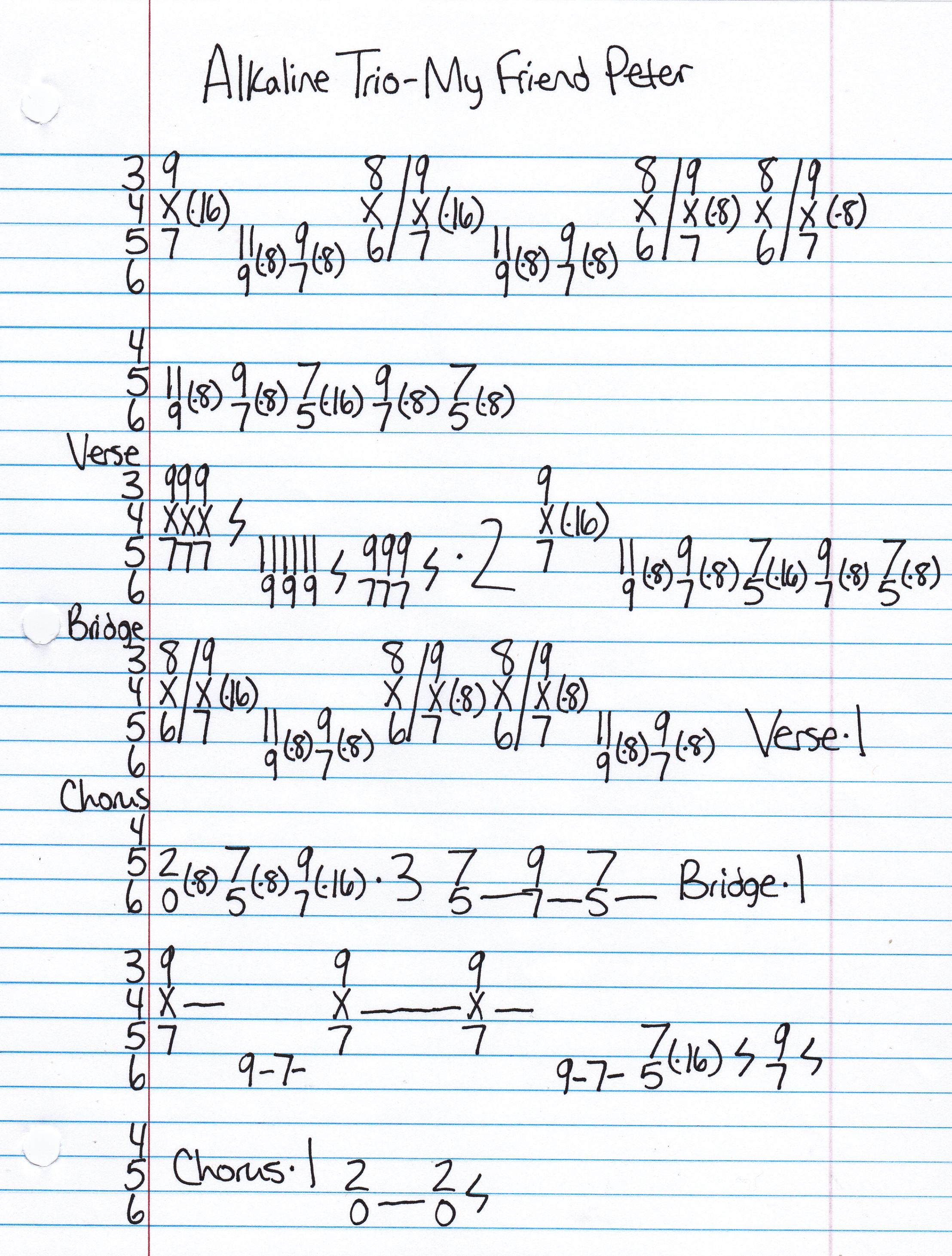
Punk Rock Guitar Tabs

Guitar tab for My Friend Peter by Alkaline Trio

(Standard Tuning)


High quality guitar tab for My Friend Peter by Alkaline Trio off of the album Alkaline Trio. ***Complete and accurate guitar tab!***

Band: Alkaline Trio

Song: My Friend Peter

Album: Alkaline Trio