Punk Rock Guitar Tabs

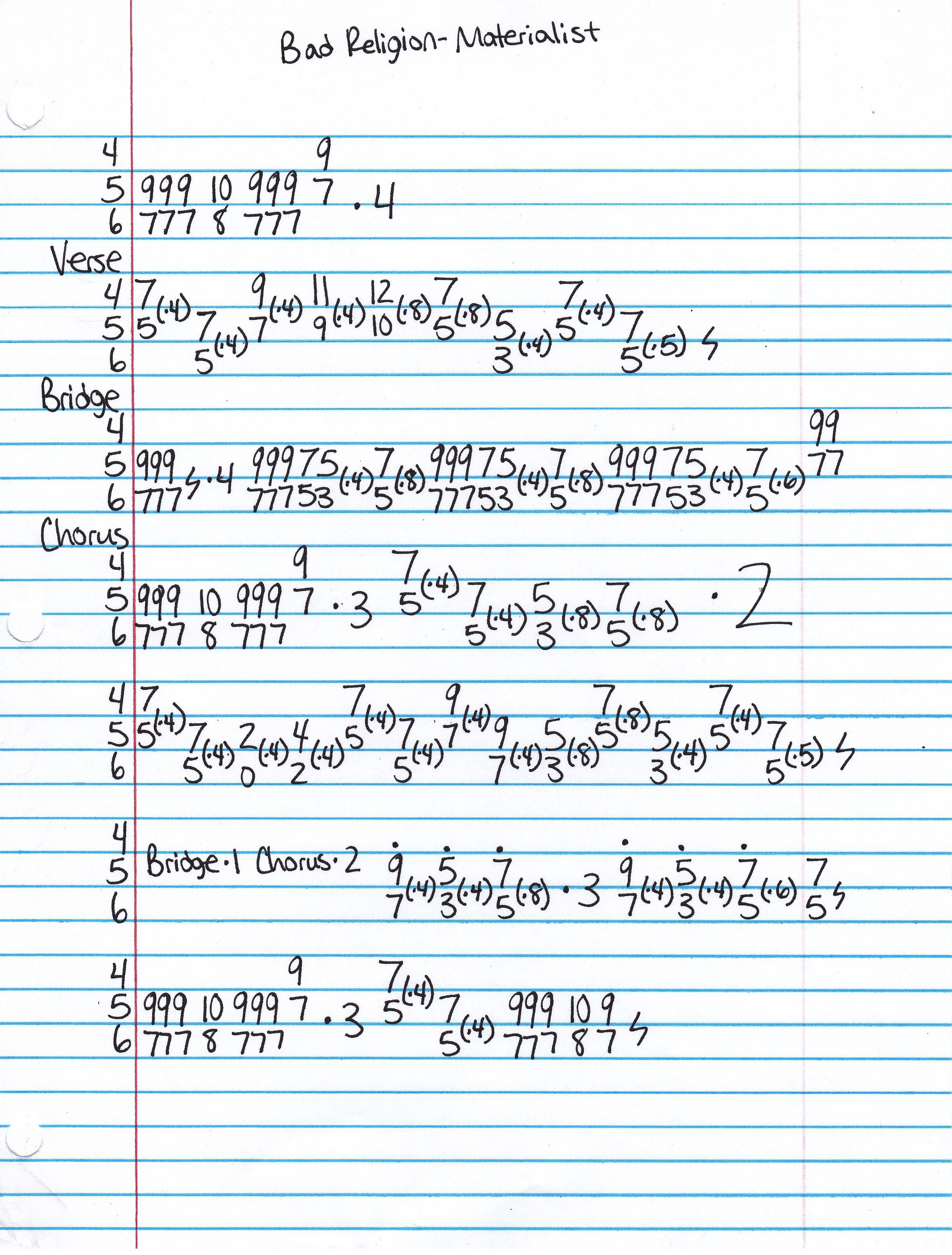
Guitar tab for Materialist by Bad Religion

(Standard Tuning)


High quality guitar tab for Materialist by Bad Religion off of the album The Process Of Belief. ***Complete and accurate guitar tab!***

Band: Bad Religion

Song: Materialist

Album: The Process Of Belief