Punk Rock Guitar Tabs

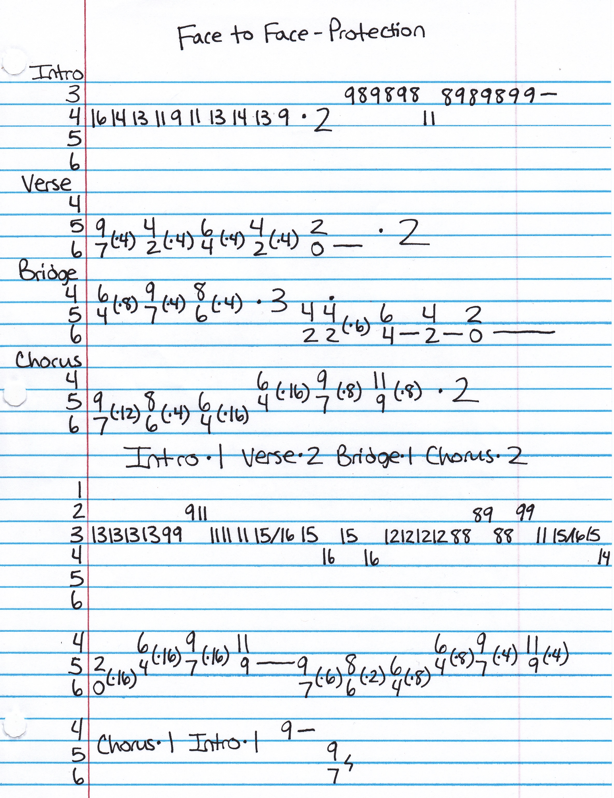
Guitar tab for Protection by Face To Face

(Standard Tuning)


High quality guitar tab for Protection by Face To Face off of the album Protection. ***Complete and accurate guitar tab!***

Band: Face To Face

Song: Protection

Album: Protection