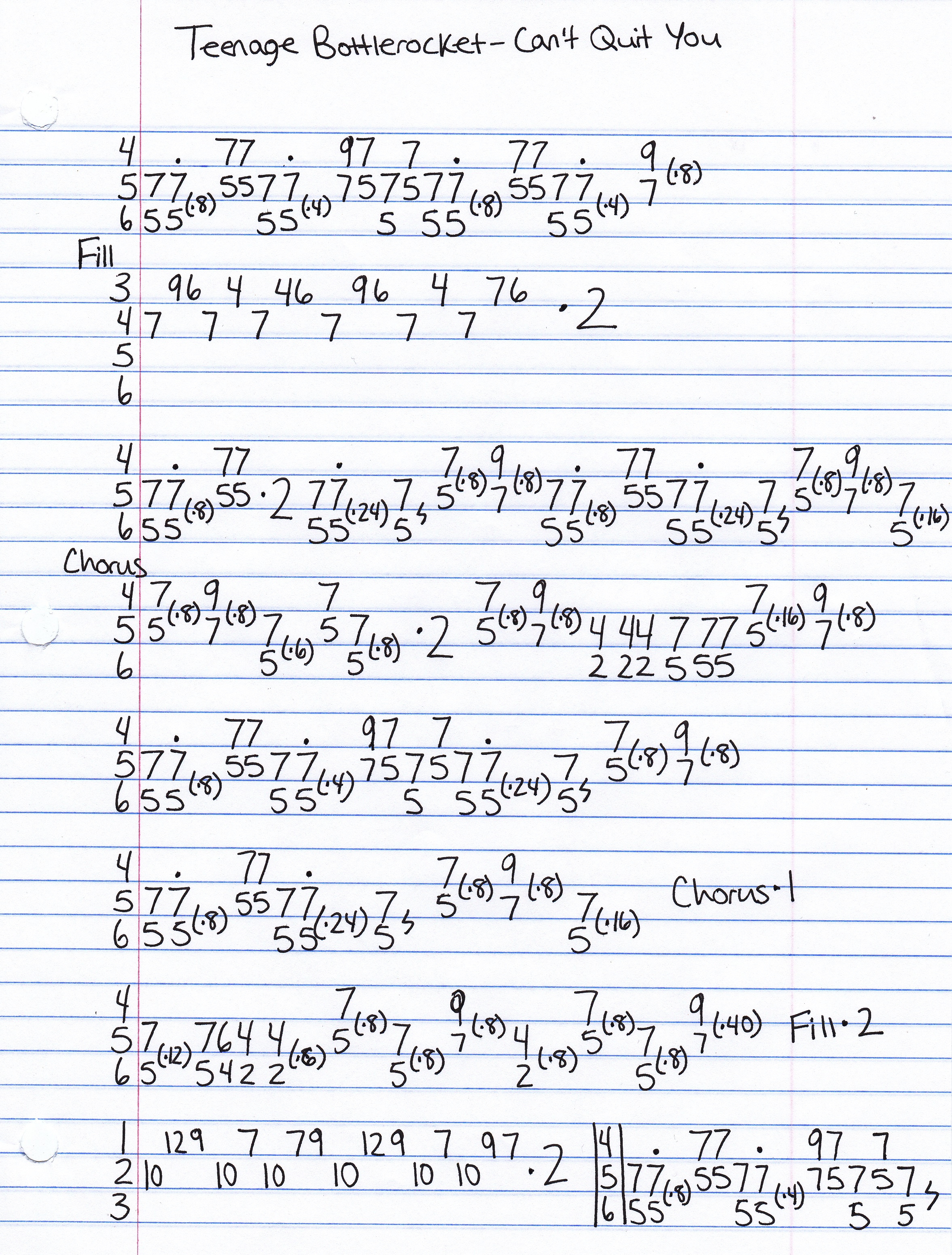
Punk Rock Guitar Tabs

Guitar tab for Can't Quit You by Teenage Bottlerocket

(Standard Tuning)


High quality guitar tab for Can't Quit You by Teenage Bottlerocket off of the album Tales From Wyoming. ***Complete and accurate guitar tab!***

Band: Teenage Bottlerocket

Song: Can't Quit You

Album: Tales From Wyoming