Punk Rock Guitar Tabs

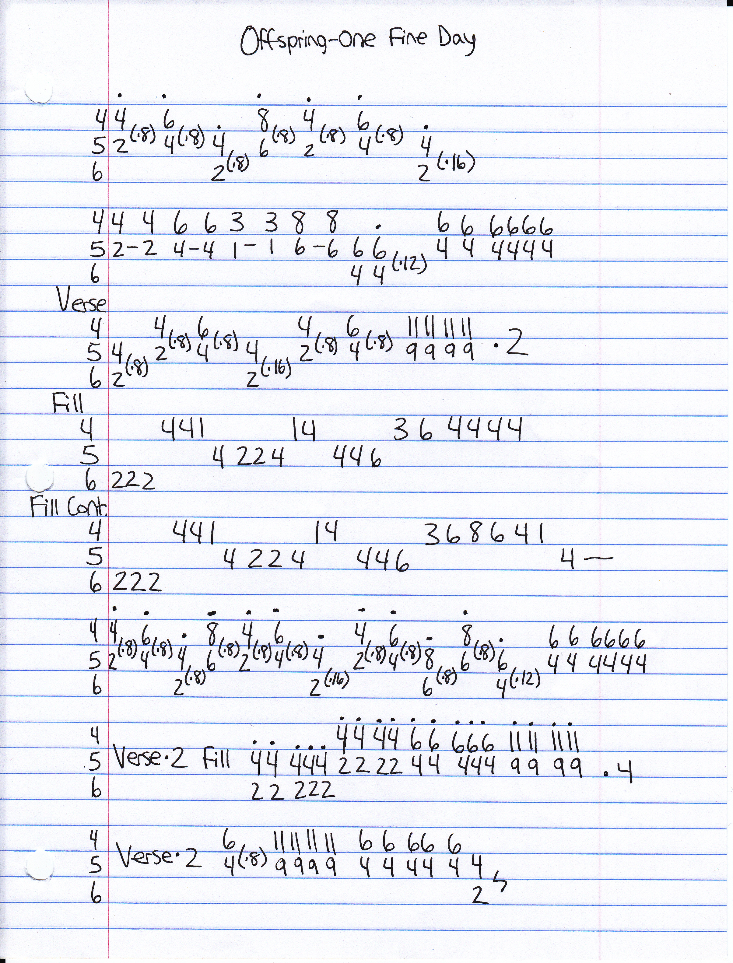
Guitar tab for One Fine Day by The Offspring

(Standard Tuning)


High quality guitar tab for One Fine Day by The Offspring off of the album Conspiracy Of One. ***Complete and accurate guitar tab!***

Band: The Offspring

Song: One Fine Day

Album: Conspiracy Of One